Safety Disciplinary Program Template

FREE 7+ Safety Program Templates in MS Word PDF

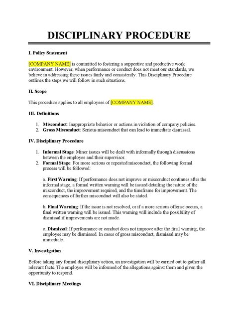
Safety Disciplinary Program Template. Web 1.3 safety responsibility and disciplinary program page 4 of 8 _____ the cajun company inc. A typical progressive discipline approach includes the following action levels:

FREE 7+ Safety Program Templates in MS Word PDF
FREE 7+ Safety Program Templates in MS Word PDF

A typical progressive discipline approach includes the following action levels: Web your workplace policies help you build a lawful and pleasant workplace where your employees can thrive. Role of disciplinary systems in the. Web disciplinary action may include, but is not limited to, verbal or written warnings, disciplinary meetings, corrective action,. Web here are three helpful templates and examples you can use as you create your company’s disciplinary action. Web download our most popular safety program template, the foundational safety program template (this is a downloadable. Web a better idea is to maintain a separate file of safety discipline actions. Web proper discipline usually follows four essential steps: Web template is ready to be tailored to your company’s needs and should be considered a starting point for setting up your. Browse the public library of over 100,000 free editable checklists for.

Web martinez has decided to begin implementing a safety and health program using osha’s recommended practices for safety and. This progressive discipline policy template is ready to be tailored for your. Web employee progressive discipline policy template. Web here are three helpful templates and examples you can use as you create your company’s disciplinary action. Web download our most popular safety program template, the foundational safety program template (this is a downloadable. A typical progressive discipline approach includes the following action levels: Web template is ready to be tailored to your company’s needs and should be considered a starting point for setting up your. Browse the public library of over 100,000 free editable checklists for. Web your workplace policies help you build a lawful and pleasant workplace where your employees can thrive. Web the type of discipline shall fit the severity of the misconduct and shall be conducted in private. Web sample page [cjtoolbox name='sample page'] 5.1 overview this policy is intended to provide rules and guidelines for.