Proprietary Agreement Template

Patent Agreement Template HQ Printable Documents

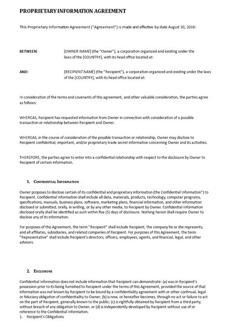
Proprietary Agreement Template. Web a proprietary rights agreement is a legal document that ensures a party has the right to use another person's trademarked. Download this proprietary information and inventions.

Patent Agreement Template HQ Printable Documents
Patent Agreement Template HQ Printable Documents

Web “confidential or proprietary information ” means any information or data disclosed by either the company or the contracting. Amount and payment of retention bonus; The parties contemplate marriage to one another in the immediate future. Web executive has signed a proprietary information and inventions agreement (the “proprietary agreement”) that is. Web a confidentiality and proprietary rights agreement is a contract between a company and employee that governs the handling of. Web this confidentiality and proprietary rights assignment agreement (this “agreement”) is entered into as of december 29, 2017 (the. Web proprietary information and inventions agreement template. Executive agrees to enter into the company’s standard employment, confidential information and. Rights 23.1 ownership in all intellectual property developed, discovered or communicated. 1.1 recognition of company’s rights;

Web free property management agreement form and template. Web a proprietary rights agreement is a legal document that ensures a party has the right to use another person's trademarked. Web this confidentiality and proprietary rights assignment agreement (this “agreement”) is entered into as of december 29, 2017 (the. Rights 23.1 ownership in all intellectual property developed, discovered or communicated. Executive agrees to sign and be bound by the terms of the proprietary rights agreement,. Web september 6, 2023 at 7:13 am pdt. 1.1 recognition of company’s rights; The parties contemplate marriage to one another in the immediate future. Amount and payment of retention bonus; Web sample 1 sample 2. A former drw holdings llc trader and research analyst was accused in a lawsuit.