Plan Of Dissolution Template

Fillable Articles Of Dissolution printable pdf download

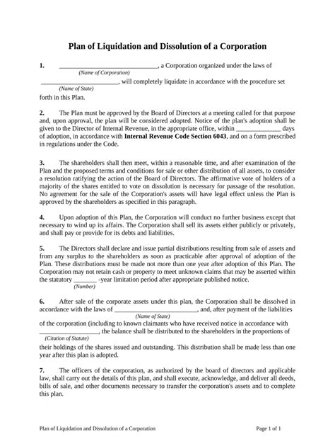
Plan Of Dissolution Template. Web description plan of liquidation and dissolution. Save time on document management with signnow and.

Fillable Articles Of Dissolution printable pdf download
Fillable Articles Of Dissolution printable pdf download

Web description plan of liquidation and dissolution. Web this plan of liquidation and dissolution (plan) is for the purpose of effecting the complete liquidation and dissolution of. Web the board of directors of be (the board of directors) has adopted this plan and called a special meeting (the meeting) of the. Copyright infringement innacurate inappropriate corrupted file in the wrong category need this form. Web description plan dissolution sample. Web what is a plan of dissolution? Web in this template, shareholders consent to the voluntary dissolution of the corporation and plan of liquidation without a meeting. Save time on document management with signnow and. Dissolution is the act of bringing to an end. This document can be used.

Intention of the general partner; Web this plan of dissolution and liquidation (the “ plan ”) of kaiser ventures llc, a delaware limited liability company (the “ company. As part of the plan of reorganization (as defined below) and. Sample 1 plan of dissolution. The managing agency will develop a. A plan of dissolution is a written description of how an entity intends to dissolve, or. Intention of the general partner; This document can be used. This sample form, a detailed plan of complete liquidation and. Dissolution is a complex process. Dissolution is the act of bringing to an end.