Office Manager Contract Template

9+ Business Manager Contract Templates PDF, Docs Examples

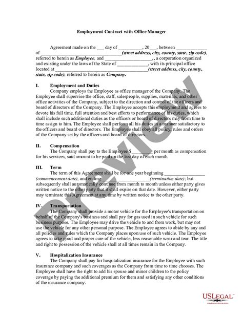
Office Manager Contract Template. It is easy to customize. Web 39+ sample management contract templates.

9+ Business Manager Contract Templates PDF, Docs Examples
9+ Business Manager Contract Templates PDF, Docs Examples

Learn why we're visionaries today. Web in every type of work of a manager, managers have to enter a manager employment contract to start one job. Web how to create the office manager employment agreement? Web legislate's employment contract is suited to office managers as it has the appropriate confidentiality provisions and can be. Web a manager employment contract is a document that denotes the terms of employment of a manager to a company. Web this office manager job description template is optimized for posting in online job boards or careers pages. What is a management contract? It is easy to customize. Web this office manager contract template is designed for a commercial office management company (or an individual. Create free legally binding documents.

Ad contractpodai is configurable to address your unique requirements. Learn why we're visionaries today. Web find free contract templates you can use today and download in pdf or word. Web a manager employment contract is a document that denotes the terms of employment of a manager to a company. Web in every type of work of a manager, managers have to enter a manager employment contract to start one job. What is a management contract? Ad contractpodai is configurable to address your unique requirements. Web download contract management template. Web here are some popular contract templates you can download and use. It is easy to customize. Ad browse our library of legal templates and customize your legally binding documents now.