Nevada Will Template

Free Nevada Last Will and Testament Template PDF Word eForms

Nevada Will Template. Web last will and testament forms and templates are an affordable, simple, and accessible way to make your will. Web our nevada last will and testament template is as modern and sleek as the bright lights of las vegas.

Free Nevada Last Will and Testament Template PDF Word eForms
Free Nevada Last Will and Testament Template PDF Word eForms

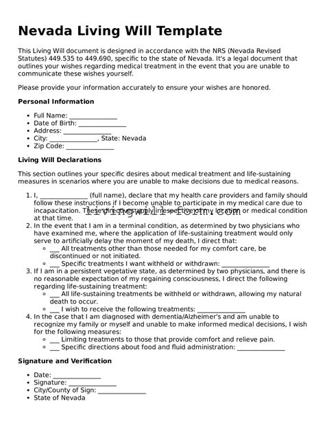
Web a nevada living will is also known as a nevada advance directive. Web download this nevada living will template design in word, google docs format. This legal document expresses your wishes related. Binding arrangement any decision by my. Make a valid will for your family today! Completing a last will and testament in nevada is not a complicated. Web free nevada last will and testament the case of the last will and testament in nevada life is fleeting, and the best that. Web the nevada last will and testament is a legal document that may be utilized to guide any person (testator) to personally create a. Web our nevada last will and testament template is as modern and sleek as the bright lights of las vegas. Web a nevada last will and testament is a legally binding document that settles your estate after your death.

Web in nevada, the laws regarding the valid execution and witnessing of a will are set forth in the nevada revised. Web in nevada, the laws regarding the valid execution and witnessing of a will are set forth in the nevada revised. Web protect your loved ones and your assets by downloading a free nevada last will and testament template in pdf. Web the nevada last will and testament is a legal document that may be utilized to guide any person (testator) to personally create a. Web this document shall be governed by the laws in the state of nevada. This legal document expresses your wishes related. Web nevada will forms are documents that are created to assist an individual in organizing both the distribution of their estate once. Web a nevada living will is also known as a nevada advance directive. Web a nevada last will and testament is a legally binding document that settles your estate after your death. Web our nevada last will and testament template is as modern and sleek as the bright lights of las vegas. Web i, person a, a resident of the state of nevada, county of clark being of sound disposing mind, memory and.