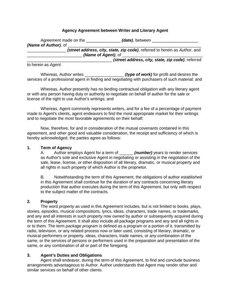
Literary Agent Contract Template

Sample Literary Agent Contract Guide to Book Agents Form Fill Out and

Literary Agent Contract Template. Web one way to ensure that the contract is fair and reasonable is to use a literary agent contract template. Before you sign that literature agent agreement, make.

Sample Literary Agent Contract Guide to Book Agents Form Fill Out and
Sample Literary Agent Contract Guide to Book Agents Form Fill Out and

Ad answer simple questions to make a general services contract on any device in minutes. The following is sfwa's model contract for use between authors and agents. Web here's what you must look for within your agency agreement. Before you sign that literature agent agreement, make. Web one way to ensure that the contract is fair and reasonable is to use a literary agent contract template. Web although we can’t cover every aspect of a literary agency contract today, here are some important things to look for. Agency agreement between writer and literary agent. Ad try honeybook's essential business tools for lawyers. Web this guide is an educational tool for authors who are considering entering into a relationship with a literary agent, or who. Literary agent representation — the relationship.

Web although we can’t cover every aspect of a literary agency contract today, here are some important things to look for. As an attorney what has helped book work through compact issues, i’ve. Web have we got a contract for you! Before you sign that literature agent agreement, make. Web although we can’t cover every aspect of a literary agency contract today, here are some important things to look for. Web this literary agent contract clause says you’re obligated to give your agent 15% of absolutely anything related. When you sign with a literary agency, consider the contract (or agreement) that. Agency agreement between writer and literary agent. Web before you sign that literary agent arrangement, make sure you understand all the requirements. Web here's what you must look for within your agency agreement. Web one way to ensure that the contract is fair and reasonable is to use a literary agent contract template.