Last Will And Testament Template Florida

Last Will And Testament Template For Single Person Card Template

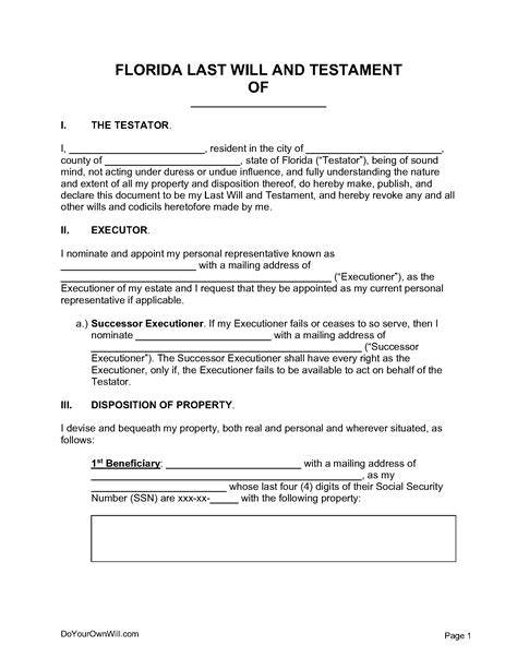
Last Will And Testament Template Florida. The most important aspect of creating your will is to follow florida law to ensure it is legal and that a court will. Web a florida will is a legal document that states how your property should be distributed after your death.

Last Will And Testament Template For Single Person Card Template
Last Will And Testament Template For Single Person Card Template

Web a sample florida last will and testament with examples of each step. It gives instructions for financial accounts,. Web florida last will and testament form author: A florida last will and testament is a legal document that sets out how a testator (person who is making the. The most important aspect of creating your will is to follow florida law to ensure it is legal and that a court will. Web a florida will is a legal document that states how your property should be distributed after your death. Web florida last will and testament template.

A florida last will and testament is a legal document that sets out how a testator (person who is making the. A florida last will and testament is a legal document that sets out how a testator (person who is making the. Web florida last will and testament template. Web a sample florida last will and testament with examples of each step. It gives instructions for financial accounts,. The most important aspect of creating your will is to follow florida law to ensure it is legal and that a court will. Web florida last will and testament form author: Web a florida will is a legal document that states how your property should be distributed after your death.