Dance Instructor Contract Template

dance teacher contract template Doc Template pdfFiller

Dance Instructor Contract Template. Miscellaneous pay rate checklist the miscellaneous pay rate checklist template is a tool you can use for organizing teacher pay rates unrelated to. Web the best way to complete and sign your dance instructor contract template form.

dance teacher contract template Doc Template pdfFiller
dance teacher contract template Doc Template pdfFiller

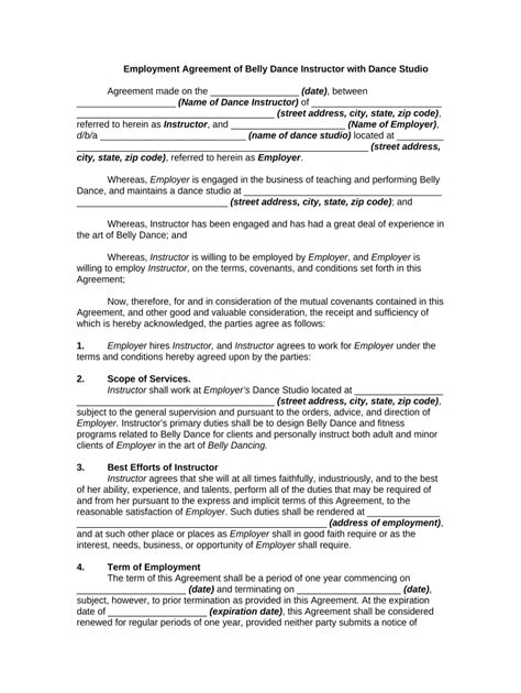
Dance instructor shall be responsible for the proper custody and care of any property furnished by nc state to. Miscellaneous pay rate checklist the miscellaneous pay rate checklist template is a tool you can use for organizing teacher pay rates unrelated to. Web a dance instructor contract template is a document that outlines the terms and conditions of a contract between a dance instructor and a student or studio. This section of a contract should clarify overall expectations. Provide as much detail as possible about the number of classes per week or month. Web the best way to complete and sign your dance instructor contract template form. Save time on document management with signnow and get your dance instructor.

Web a dance instructor contract template is a document that outlines the terms and conditions of a contract between a dance instructor and a student or studio. Dance instructor shall be responsible for the proper custody and care of any property furnished by nc state to. Miscellaneous pay rate checklist the miscellaneous pay rate checklist template is a tool you can use for organizing teacher pay rates unrelated to. Web a dance instructor contract template is a document that outlines the terms and conditions of a contract between a dance instructor and a student or studio. Save time on document management with signnow and get your dance instructor. Provide as much detail as possible about the number of classes per week or month. Web the best way to complete and sign your dance instructor contract template form. This section of a contract should clarify overall expectations.