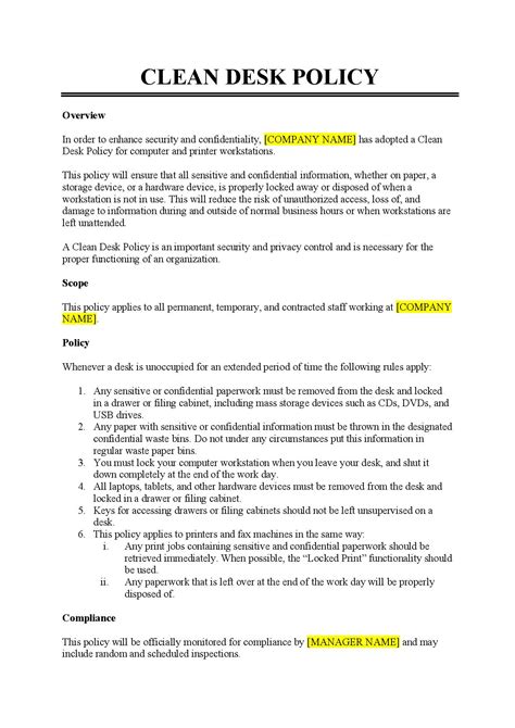
Clean Desk Policy Template

Clean Desk Policy Information Security Cyberspace

Clean Desk Policy Template. Vp & cdo, digital technology solutions responsible office(s): Creating a policy from scratch isn’t easy — that’s.

Clean Desk Policy Information Security Cyberspace
Clean Desk Policy Information Security Cyberspace

Web free clean desk policy template. Creating a policy from scratch isn’t easy — that’s. A clean desk policy is a business strategy employed by many organizations to improve security and minimize the risk of data breaches. Web best practices for implementing a clean desk policy. Web 09/03/2021 prior effective date: Include it in your employee handbook or information security policy. But it’s not uncommon for your employees to forget or not prioritize. Vp & cdo, digital technology solutions responsible office(s): Web now that you know about the benefits of a clean desk policy, it’s time to implement one in your organization. Document your clean desk policy.

Include it in your employee handbook or information security policy. But it’s not uncommon for your employees to forget or not prioritize. Creating a policy from scratch isn’t easy — that’s. Web best practices for implementing a clean desk policy. Include it in your employee handbook or information security policy. Web 09/03/2021 prior effective date: Web free clean desk policy template. Web now that you know about the benefits of a clean desk policy, it’s time to implement one in your organization. Vp & cdo, digital technology solutions responsible office(s): A clean desk policy is a business strategy employed by many organizations to improve security and minimize the risk of data breaches. Document your clean desk policy.