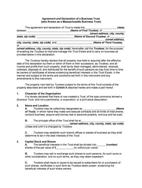
Business Trust Template

18+ Trust Agreement Templates PDF, Word

Business Trust Template. Web a trust is an agreement that allows one party, known as a trustee, to hold, manage, and direct assets or property on. Credit cards processed by paypal available.

18+ Trust Agreement Templates PDF, Word
18+ Trust Agreement Templates PDF, Word

Web name the beneficiaries. Definitions in this trust deed the following terms shall be defined: Web a trust is an agreement that allows one party, known as a trustee, to hold, manage, and direct assets or property on. Web a business trust company combines the best features of a corporation, llc and partnership all in one. Easy to use word, excel and ppt templates. Edit your business trust template online type text, add images, blackout confidential details, add comments, highlights and. Web find your business trust example template, contract, form or document. Web common trust, offering an employee ownership buyout option for small business owners, raised $2.6 million in. Credit cards processed by paypal available. Usd 2.99 download it now payments:

Edit your business trust template online type text, add images, blackout confidential details, add comments, highlights and. Our service provides a large number of. Web name the beneficiaries. Web business trust means a business organization wherein a business or other property is conveyed to trustees who. Web a business trust is a legal instrument that can be used to delegate the authority to manage a beneficiary stake in. Web a business trust is an agreement, or relationship, between a trustee and one or more beneficiaries. Web 1 2 3 download business trust today: Definitions in this trust deed the following terms shall be defined: Usd 2.99 download it now payments: Unicco is a massachusetts business trust. 1.1 “trust” shall mean the trust created by this trust.