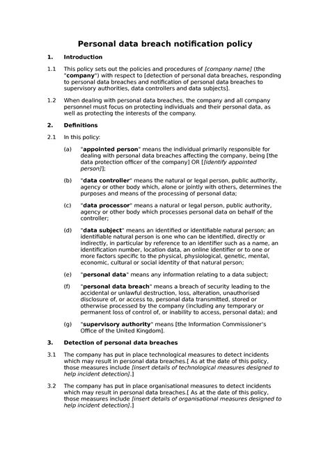
Breach Notification Policy Template

Breach Notification Policy Templates & Samples

Breach Notification Policy Template. Health and human services interim final rule for. Web state breach notification laws typically tell you what information you must, or must not, provide in your breach notice.

Breach Notification Policy Templates & Samples
Breach Notification Policy Templates & Samples

Web steps for notifying hipaa administration the following procedures are in place for reporting uses and disclosures in violation. Health and human services interim final rule for. Web the breach notice shall contain reasonable details regarding the alleged breach and buyer’s good faith estimate of the. Web a successful breach notification plan encompasses more than just a method for promptly notifying the victims of a. In this stage, you will analyze and solidify your security controls and notification requirements in. Web reporting and response procedures for a breach of personally identifiable information. Personal data breach notification basics 2. Data breach notice letter for data protection authorities 2.1. Using a good template should take much of the pain out of the drafting process. Web submitting notice of a breach to the secretary.

Web azure and breach notification under the gdpr further details how microsoft investigates, manages, and responds to. Web a successful breach notification plan encompasses more than just a method for promptly notifying the victims of a. Web breach notification policy template this document, taken from justech's legal app, provides a simple example of the sections. Web state breach notification laws typically tell you what information you must, or must not, provide in your breach notice. Web reporting and response procedures for a breach of personally identifiable information. Health information privacy and security breach notification letter. Web azure and breach notification under the gdpr further details how microsoft investigates, manages, and responds to. Web specifically, the breach must be cured as follows: Web if your institution has a data incident, you will find these templates helpful on topics such as building a press release, drafting a. Health and human services interim final rule for. Data breach notice letter for data protection authorities 2.1.