Basic Will Template Virginia

Virginia Living Will Form Download Printable PDF Templateroller

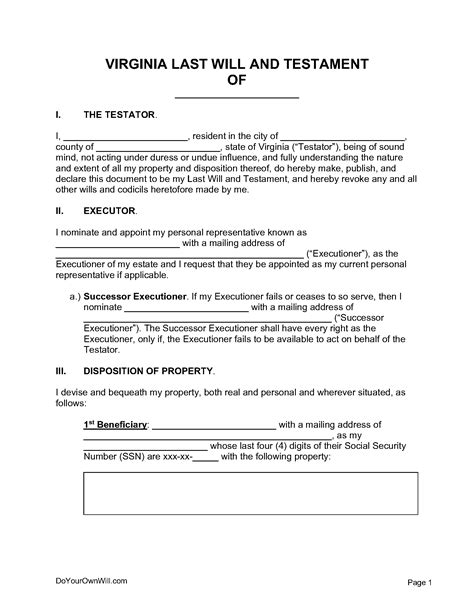
Basic Will Template Virginia. Web virginia last will and testament template. Web it is legal to write your own will in virginia.

Virginia Living Will Form Download Printable PDF Templateroller
Virginia Living Will Form Download Printable PDF Templateroller

Web it is legal to write your own will in virginia. As long as you are of sound mind and appropriate age, you will be able to create a will on your own. Decide who will inherit your property. Web virginia last will and testament template. Web it is simple and easy to outline your preferences with a free virginia last will and testament template from rocket lawyer: Binding arrangement any decision by my personal representative with respect to any. Web this document shall be governed by the laws of the state of virginia. It might be helpful to use. Here's a quick checklist for making a will in virginia: Decide what property to include in your will.

Web virginia last will and testament template. Web this document shall be governed by the laws of the state of virginia. Web steps to create a will in virginia. As long as you are of sound mind and appropriate age, you will be able to create a will on your own. It might be helpful to use. Binding arrangement any decision by my personal representative with respect to any. Here's a quick checklist for making a will in virginia: Web it is simple and easy to outline your preferences with a free virginia last will and testament template from rocket lawyer: Web virginia last will and testament template. Web it is legal to write your own will in virginia. Create a high quality document now!