Author Contract Template

Freelance Contract Template download free documents for PDF, Word and

Author Contract Template. This is a safe and. The agreement dictates the terms and.

Freelance Contract Template download free documents for PDF, Word and
Freelance Contract Template download free documents for PDF, Word and

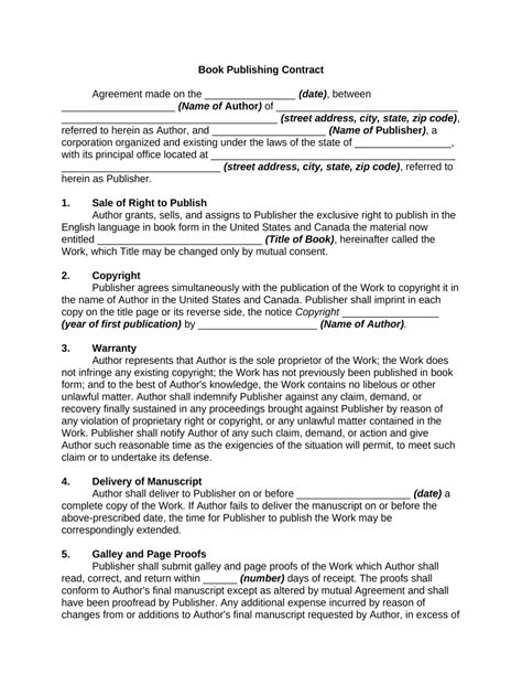
Here are 6 key terms/areas you need to address in your publishing contract before signing on the. Web here is a sample of elsevier's journal article publishing contract template (find it under the help & support header). The agreement dictates the terms and. This contract constitutes the full agreement of publisher and author and supersedes all prior contracts, understandings, and discussions, whether. Ad answer simple questions to make your legal forms. Web publishing contract for authors [sample document] this is a real publishing contract for a technical authors to author/ write a technical book by publishing companies. Web a publishing contract template is a document that outlines the terms of an agreement between an author and a publisher. Each sample agreement comes with. Take control of your legal actions. Web ibpa members can download a sample publisher/author agreement as a starting point for drafting a suitable book contract between a publisher and an author.

This contract constitutes the full agreement of publisher and author and supersedes all prior contracts, understandings, and discussions, whether. Web an author agreement is a legal agreement typically between a writer or author and a publishing or production company. It includes the details of the compensation,. This is a safe and. Web a publishing contract template is a document that outlines the terms of an agreement between an author and a publisher. Here are 6 key terms/areas you need to address in your publishing contract before signing on the. Web here is a sample of elsevier's journal article publishing contract template (find it under the help & support header). Ad answer simple questions to make your legal forms. Web ibpa members can download a sample publisher/author agreement as a starting point for drafting a suitable book contract between a publisher and an author. Web the model trade book contract contains samples of the clauses or provisions authors are likely to encounter in a publishing contract, from subsidiary. Web to ensure your book publishing contract is signed safely and securely, and both parties have access to a fully executed agreement, you can use nitro sign.