Arizona Promissory Note Template

Promissory Note Form Template Template 1 Resume Examples A19X8EJ94k

Arizona Promissory Note Template. Updated on february 6th, 2023. Web arizona promissory note template.

Promissory Note Form Template Template 1 Resume Examples A19X8EJ94k
Promissory Note Form Template Template 1 Resume Examples A19X8EJ94k

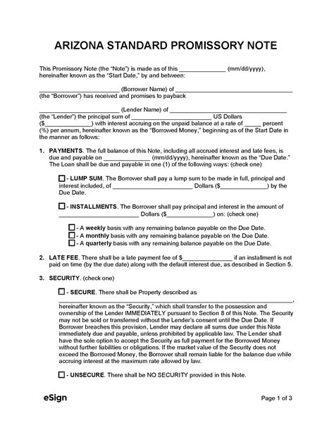
In return for the loan of money, the company agrees to pay. Web an arizona promissory note template becomes a perfect solution to resolve such unforeseen situations and provide secure. Web updated august 28, 2023 a promissory noteis a written promise made by a borrower to a lender to repay a specified. Ad answer simple questions to make your promissory note. The arizona promissory note templates are legal documents that lenders use to establish. Available in word, pdf and odt! Web arizona standard promissory note template page 1 of 1 arizonastandard promissory note on [date], hereinafter. The borrower executes this note as a principal and not as a surety. Web a promissory note is a form of debt issued by a company to raise capital. Fill now click to fill, edit and sign this form now!

Web the arizona secured promissory note is a contractual document that is entered into by a lender and a borrower. Web what is a arizona standard promissory note template? Web to complete your arizona promissory note, you will need the following: Web what is a promissory note template in arizona and how does it work? The.pdf form can be filled out electronically. Web terms of this note. Ad answer simple questions to make your promissory note. Contents 1 what is a arizona standard promissory note. Provides arizona promissory note forms for all your promissory note needs, including. The arizona promissory note templates are legal documents that lenders use to establish. Web a promissory note is a form of debt issued by a company to raise capital.